How much can an electromagnet lift?

In industrial settings, handling ferrous materials requires precision, safety, and reliability. Among the most widely adopted technologies for such operations, electromagnets play a key role, offering high performance across various sectors, from steel production to logistics and process automation.
One of the most frequently asked questions is:
“How much can an electromagnet actually lift?”
The answer isn’t straightforward; it depends on a variety of factors: the strength of the current, the core design, the air gap between surfaces, the quality of the material being lifted, and several other engineering variables that change from one application to another.
At Zanetti Magneti, a leading manufacturer of custom magnets and electromagnets across Europe, we deal with this question daily, working closely with partners and clients in industrial, automation, and distribution sectors.
This article was created to provide a clear, technical, and in-depthexplanation , specifically designed for professionals in industry, logistics, automation, or magnetic technology distribution.
We’ll take a closer look at how the pulling force of an electromagnet is calculated, what factors influence its strength, and share real-world examples of industrial electromagnets, complete with figures, technical data, and application scenarios.
How is the attractive force of an electromagnet calculated?
Unlike a permanent magnet, the force of an electromagnet is not fixed. It is dynamic, influenced by numerous variables, and it is precisely this flexibility that makes it so powerful and versatile.
For companies operating in industrial, logistics or automation sectors, understanding how to correctly estimate this force is crucial: choosing the wrong electromagnet can lead to downtime, inefficiencies, or even safety risks.
On a theoretical level, the attractive force of an electromagnet can be calculated using a simplified formula. While this serves as a useful starting point for an initial assessment, it should be noted that it remains an approximation, often far from the actual results in complex industrial environments.

Where:
F = attractive force (Newtons)
B = magnetic flux density, expressed in Tesla (T)
A = contact surface area between the electromagnet and the material (in m²)
μ₀ = magnetic permeability of vacuum (constant: 4π × 10⁻⁷ T·m/A)
This formula highlights two key principles:
- The stronger the magnetic field (B), the greater the force.
- The larger the contact area, the higher the attractive capacity.
In the real world, however, the actual attractive force can be influenced by a range of variables not accounted for in the formula, yet crucial in practical terms:
- Presence of air or impurities between the electromagnet and the material
Even a thin film of air or dust can reduce magnetic efficiency.
- Magnetic core geometry
The shape affects the magnetic flux path and the field distribution.
- Core material and saturation
Once the ferromagnetic material in the core reaches saturation, increasing the current no longer increases the force.
- Type of attracted material
Not all metals react in the same way to a magnetic field. Mild steel, cast iron, stainless steel, each behaves differently.
- Duty cycles and heat generation
Rising temperatures can affect wire resistance and reduce overall field efficiency.
These factors underscore the importance of relying on more advanced calculations and well-established technical expertise when designing a custom electromagnet for a specific application.
That is why, at Zanetti Magneti, we don’t stop at theory. Every project is developed using advanced magnetic simulation tools, in particular the FEM (Finite Element Method), which enables us to digitally reconstruct the electromagnet’s behaviour under real operating conditions.
These software tools allow us to simulate:
- Magnetic field intensity across different points of the core and attraction area
- Magnetic flux lines and potential bottlenecks
- Losses caused by geometry or distance
- Thermal effects and possible leakages
But simulation alone is not enough: each product undergoes physical testing to confirm that the predicted performance is actually achievable in the field. It is this combination of digital design and practical validation that ensures reliable results.
This is why the answer to the question “how much can an electromagnet lift?” is never a one-size-fits-all. It must be calculated case by case, starting from application data, the type of material to be lifted, the cycle time, available space, and environmental conditions.
At Zanetti Magneti, every electromagnet is designed according to these criteria:
- Technical analysis of the real application
- Study of the material and weight to be moved
- Geometry optimisation to maximise force
- FEM simulation and validation
- Physical lifting and release tests
- Compliance with safety certifications and standards
Factors Influencing Magnetic Attraction (Current, Core, Distance, Material)
The magnetic pull force generated by an electromagnet is not determined by a single variable, but rather by the interaction of several physical and design-related factors. Understanding these elements is essential to accurately assess the performance of a magnetic system and choose the most suitable device for specific operational needs.
In industrial applications, even a slight variation in one of these parameters can significantly affect the efficiency of magnetic lifting. Below, we analyze the four main factors that influence the attractive force of an electromagnet: electrical current, magnetic core, distance from the material, and the nature of the attracted material.
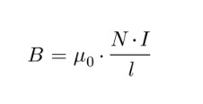
Electric Current
The first element to consider is the intensity of the current flowing through the coil windings. The magnetic field generated by an electromagnet is directly proportional to the product of the number of turns and the current intensity:

Where:
- B is the magnetic field strength;
- μ₀ is the magnetic permeability of vacuum (constant: 4π × 10⁻⁷ T·m/A);
- N is the number of turns in the winding;
- I is the electric current (in amperes);
- / stands for current intensity.
The higher the current, the stronger the magnetic field and, consequently, the greater the attractive force. However, increasing the current also leads to greater heating of the winding, which risks reduced efficiency or potential damage to the system. Moreover, excessive current may cause the magnetic core to reach saturation: a point beyond which further increases in current do not result in significant gains in force.
For these reasons, current must always be carefully calibrated, taking into account the duty cycle, operating temperature, and thermal resistance of the components.
Magnetic Core
The core of the electromagnet, made of ferromagnetic material, serves to channel and concentrate the magnetic flux generated by the coil. The quality and composition of the core material directly affect the efficiency of the magnetic field.
The most commonly used materials include:
- Mild steel
- Low-carbon steels
- High-permeability ferromagnetic alloys
A core with high magnetic permeability enables more efficient transfer of the magnetic field and produces a stronger attractive force. However, it is essential to prevent the material from reaching magnetic saturation, a condition in which the core can no longer carry additional magnetic flux lines, thus limiting the electromagnet’s performance.
The geometry of the core also plays a key role, as it influences both the distribution and the density of the magnetic field. For this reason, core design is a strategic phase in the development of high-performance electromagnets.
Gap between electromagnet and material
An electromagnet’s attractive force is at its maximum when there is direct and stable contact with the material. The presence of air gaps between the load surface and the magnetic pole can affect the continuity of the magnetic flux, thereby reducing the system’s efficiency.
This occurs because air has a much lower magnetic permeability compared to ferromagnetic materials, and therefore acts as a resistance to the passage of the magnetic field.
However, in other applications, such as scrap handling or demolition material processing, where working conditions are generally more dynamic, the air gap is considerably less critical. In such cases, electromagnets are often designed to operate efficiently even in the presence of uneven surfaces or heterogeneous materials.
To optimise magnetic performance across any industry, some good design practices remain universally valid:
- Favour flat and clean contact surfaces where possible;
- Limit the presence of coatings, rust or dirt, which can create micro-gaps;
- Minimise any spacing between the electromagnet and the load.
A proper analysis of the application context allows for the selection of the most suitable magnetic solution, ensuring reliable performance even under less-than-ideal operating conditions.
Material being attracted
The type of material to be lifted or held is another key factor. Only ferromagnetic materials are significantly influenced by a magnetic field—and even among these, there are substantial differences in magnetic responsiveness.
For example:
- Mild steel: highly responsive, excellent magnetic behaviour;
- Cast iron: good magnetic response, though with potential losses due to porosity;
- Alloy steels: response varies depending on alloy composition;
- Stainless steels (austenitic): weakly magnetic or non-magnetic;
- Aluminium, copper, brass: non-magnetic, thus unaffected by magnetic fields.
For this reason, it is essential to know the exact composition of the material to be handled before selecting or designing an electromagnet. In many cases, it is advisable to carry out practical tests or consult material datasheets to assess true magnetic compatibility.
How powerful can an electromagnet be?
A well-designed electromagnet can generate considerable attractive forces, capable of lifting anything from a few kilograms to several tens of tonnes, depending on its construction features. This makes it an extremely effective and versatile solution across a wide range of industrial sectors.
High-power electromagnets are used in environments where high performance is required, even under demanding operating conditions. Some examples include:
- Lifting steel blocks weighing up to 20 tonnes;
- Handling single or stacked metal sheets;
- Recovering contaminated or non-uniform ferrous scrap;
- Manipulating mechanical components at high temperatures.
Unlike permanent magnets, electromagnets allow for active control of the magnetic field: they can be switched on, off, or modulated in intensity as needed. This translates into:
- Greater operational flexibility;
- Integration capability with automated systems;
- Enhanced safety during load release phases.
In environments where operational continuity is critical, Zanetti Magneti integrates safety systems such as:
- Backup systems in case of power failure;
- Controlled release mechanisms;
- Solutions designed to prevent accidental drops.
With bespoke engineering, it is possible to achieve top performance, guaranteed safety, and operational versatility—even in the most complex environments.
Examples of industrial electromagnets and their lifting capabilities
Electromagnets are used in a broad range of manufacturing sectors. Below are some practical examples that illustrate how design characteristics directly affect lifting performance.
Ferrous scrap
In the recycling and demolition industries, power combined with durability is essential. Electromagnets used in these contexts are built to operate in dusty, high-intensity environments.
These devices are ideal for steel mills, sorting facilities, and industrial demolitions.
Thin metal sheets
In automated lines, such as cutting or stamping systems, sheet metal handling requires precision and delicacy. In these cases, compact yet highly responsive lifting electromagnets are used.
They are optimised to separate individual sheets and prevent multiple pickups, ensuring efficiency in automated processes.
Beams and rails
When lifting heavy and bulky structural elements, such as HEA/HEB beams or railway tracks, it is crucial to distribute the force evenly to avoid bending or damage.
These electromagnets are used in metal fabrication and the rail industry, where reliability and precision are paramount.
Application sectors
Zanetti Magneti electromagnets are deployed across various industrial sectors. Each application demands a specific configuration:
- Steel industry: handling scrap, billets, ingots
- Industrial logistics: transferring metallic components and palletised loads
- Shipyards: manipulation of large sheets and profiles
- Demolition: selective separation and collection of ferrous materials
- Mechanical engineering: precise positioning of parts on CNC machines, presses, or automated lines
Every operational setting presents unique variables. For this reason, Zanetti Magneti designs custom electromagnets, tailored according to:
- Type and weight of materials
- Frequency of use
- Operating environment
- Integrable control systems
This design focus ensures maximum magnetic efficiency, reducing energy consumption, wear, and cycle times.
FAQ about attracting an electromagnet
How much weight can an electromagnet lift?
It depends on its size, current, core type, and the surface of the material. Industrial electromagnets can lift over 20 tons.
Can the strength of an electromagnet be adjusted?
Yes. By varying the input current or modifying the number of coil windings, the magnetic field strength can be regulated.
What’s the difference between an electromagnet and a permanent magnet?
A permanent magnet provides constant force, while an electromagnet can be switched on, off, and adjusted as needed.
Do industrial electromagnets require maintenance?
Yes. Periodic checks of insulation, terminals, cables, and electrical resistance are recommended to ensure performance and safety.
How do I choose the right electromagnet for my business?
By evaluating the material type, weight, usage frequency, environmental conditions, and available space. Zanetti Magneti offers personalized consulting.
Do electromagnets work on non-ferrous materials?
No. Magnetic attraction works only on ferromagnetic materials. Aluminum, copper, and plastic are not affected.

